Методи оцінки вибуття запасів у бюджетних установах: просто про складне

- Які існують методи оцінки вибуття запасів?
- Метод ідентифікованої собівартості
- Метод середньозваженої собівартості
- Способи оцінки вибуття запасів за середньозваженою собівартістю
- Метод собівартості перших за часом надходження запасів (ФІФО)
- Оцінка вибуття запасів за собівартістю перших за часом надходження запасів (ФІФО)
- Висновки
Запаси — один із наймасовіших і водночас найбільш «підступних» об’єктів бухгалтерського обліку в бюджетних установах. Саме на етапі їх списання у бухгалтерів, особливо тих, хто лише розпочинає професійний шлях, виникає найбільше запитань: за якою вартістю списувати матеріали? чому одна й та сама крупа або папір у документах мають різну ціну? що таке метод ФІФО і чому він не має нічого спільного з реальною черговістю видачі запасів зі складу?
Відповіді на ці запитання зосереджені в одному ключовому понятті — методи оцінки вибуття запасів. Саме правильний вибір і коректне застосування такого методу визначає достовірність витрат установи, об’єктивність залишків запасів та відсутність претензій з боку контролюючих органів.
У цій статті послідовно й на практичних прикладах розглянемо всі методи оцінки вибуття запасів, дозволені для бюджетних установ, пояснимо їх економічну суть, сферу застосування, переваги та обмеження. Розповімо про це так, щоб бухгалтер міг не лише зрозуміти «теорію», а й безпомилково застосувати обраний метод у щоденній обліковій роботі.
Які існують методи оцінки вибуття запасів?
Для оцінки запасів при їх вибутті бюджетні установи мають у своєму розпорядженні три методи, зокрема:
- метод ідентифікованої собівартості відповідної одиниці запасів;
- метод середньозваженої собівартості;
- та метод собівартості перших за часом надходження запасів (так званий метод ФІФО).
Це передбачено п. 4 розд.IV НП(С)БО 123 «Запаси», затвердженого наказом Мінфіну від 12.10.2010 № 1202.
У ж чому суть кожного із цих методів і в чому їх відмінності?
Так, перший метод ідентифікованої собівартості передбачає ведення обліку за кожною окремою одиницею запасів. Тобто кожну одиницю запасів при вибутті оцінюємо за тією ж вартістю, за якою вона була оприбуткована при надходженні.
Цей метод доцільно застосовувати, якщо обсяги вибуття запасів незначні і можна з легкістю відслідкувати, за якою вартістю вони були зараховані на баланс. При цьому в установі має бути добре налагоджений індивідуальний облік кожного виду запасів. Зокрема, доречно використовувати спеціальне маркування на однотипних запасах, призначених для виконання різних замовлень, проектів тощо.
Другий метод – метод середньозваженої собівартості. Її визначають діленням сумарної вартості залишку запасів на початок місяця і вартості одержаних протягом місяця запасів на їх сумарну кількість на початок звітного місяця та одержаних у звітному місяці запасів. Причому цей метод передбачає оцінку вибуття запасів двома способами: щомісячно (один раз наприкінці звітного місяця) або періодично на дату кожної операції з вибуття запасів.
Варто зауважити, що метод середньозваженої собівартості є найпопулярнішим у вітчизняній обліковій практиці. Своє визнання він здобув завдяки простоті і зручності у застосуванні, особливо при оцінці великої кількості запасів різної номенклатури (наприклад, медикаменти, продукти харчування тощо). Окрім того, цей метод дає об’єктивну картину руху запасів в установі.
І в нас залишився ще один метод оцінки вибуття запасів – метод собівартості перших за часом надходження запасів. Його ще часто називають ФІФО від англійського «first in – first out» – «першим надійшов – першим вибув». Оцінка за цим методом ґрунтується на припущенні, що запаси використовуються у тій послідовності, у якій вони надходили до установи. Тобто запаси, які першими відпускаються для використання, оцінюють за собівартістю перших за часом надходження запасів.
Але майте на увазі: такий принцип використовує виключно бухгалтер при обліку запасів. І це зовсім не означає, що комірник або інша матеріально відповідальна особа, дійсно буде відпускати саме ті матеріальні цінності, які надійшли до установи першими. Адже визначити черговість надходження запасів, які вже знаходяться на місцях зберігання, не завжди можливо.
Отже, для невеликих установ з незначними обсягами руху запасів і різноманітністю їх видів найкраще підійде метод ФІФО.
Якщо ж у вашій установі, навпаки, велика кількість запасів різної номенклатури та ще й висока інтенсивність руху таких матеріальних цінностей, тоді для їх оцінки доцільно обрати метод середньозваженої собівартості.
А от виконання замовлень, наукових проектів для сторонніх осіб, а також наявність в установі запасів, які не замінюють один одного, вимагає застосування методу ідентифікованої собівартості. Проте останній метод здебільшого носитиме характер допоміжного.
Пам’ятайте: для всіх одиниць обліку запасів однакового призначення та з аналогічними умовами використання слід застосовувати один метод оцінки вибуття.
Разом з цим чинним законодавством не заборонено одночасно застосувати в одній і тій же установі декілька методів для оцінки вибуття різних за призначенням запасів. Звісно, щоб використовувати в установі більше ніж один метод, самого бажання бухгалтера замало. Для цього потрібні серйозні підстави (наприклад, велика різноманітність номенклатури запасів та значна кількість запасів принципово різного призначення). У такому разі застосування кількох методів у одній установі є допустимим. І пам’ятайте, що цей факт обов’язково слід зафіксовати і належним чином обґрунтувати у наказі про облікову політику установи.
Важливо: метод оцінки вибуття запасів є одним із елементів облікової політики установи і не може змінюватися без вагомих на те причин.
Більше про особливості застосування кожного із цих методів, їх переваги та недоліки розповімо далі. Саме тут ви найдете умовні числові приклади оцінки вибуття запасів. А відтак, зможете самостійно оцінити зручність використання кожного із методів.
Метод ідентифікованої собівартості

Приклад. Вищий навчальний заклад має у своєму складі редакційно-видавничий відділ. Цей підрозділ здійснює художнє оформлення і поліграфічне виконання видань для забезпечення навчального процесу, а також надає поліграфічні послуги стороннім особам.
Витратні матеріали (папір, клей, палітурки тощо), придбані навчальним закладом для видавництва власної навчально-методичної літератури та придбані (надані замовником) для виконання замовлень, обліковують окремо.
Згідно з даними обліку залишок паперу офсетного (формату А4) на початок місяця становить 16 пачок загальною вартістю 1360 грн (тобто по 85 грн кожна). Протягом місяця надійшло ще 24 пачки паперу, з них:
- 12 травня — 10 пачок (ціна за 1 пачку – 94 грн) на суму 940 грн – для виконання замовлення сторонньої особи;
- 25 травня — 14 пачок (за ціною 89 грн) на суму 1246 грн – для потреб університету.
Протягом місяця було використано видавничим відділом і списано 30 пачок паперу:
- 8 травня — 10 пачок за ціною 85 грн;
- 13 травня — 10 пачок за ціною 94 грн;
- 19 травня — 6 пачок за ціною 85 грн;
- 25 травня — 4 пачки за ціною 89 грн.
|
Назва запасів |
Дата |
Залишок на початок місяця |
Надійшло |
Вибуло |
Залишок на кінець місяця |
||||||||
|
к-сть |
ціна, грн. |
сума, грн. |
к-сть |
ціна, грн. |
сума, грн. |
к-сть |
ціна, грн. |
сума, грн. |
к-сть |
ціна, грн. |
сума, грн. |
||
|
Папір офсет У* |
01.05 |
16 |
85,00 |
1360,00 |
- |
- |
- |
- |
- |
- |
16 |
85,00 |
1360,00 |
|
Папір офсет У |
08.05 |
- |
- |
- |
- |
- |
- |
10 |
85,00 |
850,00 |
6 |
85,00 |
510,00 |
|
Папір офсет З** |
12.05 |
- |
- |
- |
10 |
94,00 |
940,00 |
- |
- |
- |
10 |
94,00 |
940,00 |
|
Папір офсет З |
13.05 |
- |
- |
- |
- |
- |
- |
10 |
94,00 |
940,00 |
- |
- |
- |
|
Папір офсет У |
19.05 |
- |
- |
- |
- |
- |
- |
6 |
85,00 |
510,00 |
- |
- |
- |
|
Папір офсет У |
25.05 |
- |
- |
- |
14 |
89,00 |
1246,00 |
4 |
89,00 |
356,00 |
10 |
89,00 |
890,00 |
|
Разом |
Х |
16 |
85,00 |
1360,00 |
24 |
Х |
2186,00 |
30 |
Х |
2656,00 |
10 |
89,00 |
890,00 |
|
* У – папір, придбаний для потреб університету. |
|||||||||||||
Метод середньозваженої собівартості

Способи оцінки вибуття запасів за середньозваженою собівартістю
Приклад. Згідно з наказом про облікову політику дошкільного навчального закладу продукти харчування при вибутті оцінюються за середньозваженою собівартістю.
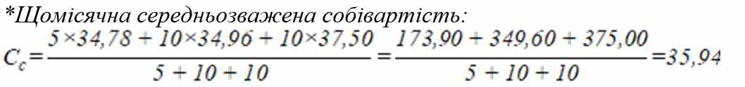
Дані Картки (книги) складського обліку запасів свідчать, що залишок крупи X на початок звітного місяця становить 5 кг на суму 173,90 грн (ціна за 1 кг – 34,78 грн). Протягом місяця на склад надійшло 20 кг крупи X, у тому числі:
- 5 травня — 10 кг на суму 349,60 грн (ціна за 1 кг — 34,96 грн);
- 22 травня — 10 кг на суму 375,00 грн (ціна за 1 кг — 37,50 грн).
Відповідно до Відомості з витрачання продуктів харчування протягом травня для приготування їжі було використано 16 кг крупи X, з них:
- 6 травня — 4 кг;
- 12 травня — 6 кг;
- 18 травня — 2 кг;
- 25 травня — 4 кг.
Оцінка вибуття запасів за щомісячною середньозваженою собівартістю
|
Дата |
Залишок на початок місяця |
Надійшло |
Вибуло |
Залишок на кінець місяця |
||||||||
|
к-сть |
ціна, грн. |
сума, грн. |
к-сть |
ціна, грн. |
сума, грн. |
к-сть |
ціна, грн. |
сума, грн. |
к-сть |
ціна, грн. |
сума, грн. |
|
|
01.05 |
5 |
34,78 |
173,90 |
- |
- |
- |
- |
- |
- |
- |
- |
- |
|
05.05 |
- |
- |
- |
10 |
34,96 |
349,60 |
- |
- |
- |
- |
- |
- |
|
108.05 |
- |
- |
- |
- |
- |
- |
4 |
35,94 |
143,76 |
- |
- |
- |
|
12.05 |
- |
- |
- |
- |
- |
- |
6 |
35,94 |
215,64 |
- |
- |
- |
|
18.05 |
- |
- |
- |
- |
- |
- |
2 |
35,94 |
371,88 |
- |
- |
- |
|
22.05 |
- |
- |
- |
10 |
37,50 |
375,00 |
- |
- |
- |
- |
- |
- |
|
25.05 |
- |
- |
- |
- |
- |
- |
4 |
35,94 |
143,76 |
- |
- |
- |
|
Разом |
5 |
34,78 |
173,90 |
20 |
Х |
724,60 |
16 |
35,94* |
575,04 |
9 |
35,94* |
323,46 |
|
|
||||||||||||
Оцінка вибуття запасів за періодичною середньозваженою собівартістю (на дату операції з вибуття)
|
Дата |
Залишок на початок місяця |
Надійшло |
Вибуло |
Залишок на кінець місяця |
||||||||
|
к-сть |
ціна, грн. |
сума, грн. |
к-сть |
ціна, грн. |
сума, грн. |
к-сть |
ціна, грн. |
сума, грн. |
к-сть |
ціна, грн. |
сума, грн. |
|
|
01.05 |
5 |
34,78 |
173,90 |
- |
- |
- |
- |
- |
- |
- |
- |
- |
|
05.05 |
- |
- |
- |
10 |
34,96 |
349,60 |
- |
- |
- |
- |
- |
- |
|
108.05 |
- |
- |
- |
- |
- |
- |
4 |
34,901 |
139,60 |
- |
- |
- |
|
12.05 |
- |
- |
- |
- |
- |
- |
6 |
34,902 |
209,40 |
- |
- |
- |
|
118.05 |
- |
- |
- |
- |
- |
- |
2 |
34,903 |
69,80 |
- |
- |
- |
|
22.05 |
- |
- |
- |
10 |
37,50 |
375,00 |
- |
- |
- |
- |
- |
- |
|
53.05 |
- |
- |
- |
- |
- |
- |
4 |
36,904 |
147,60 |
- |
- |
- |
|
Разом |
5 |
34,78 |
173,90 |
20 |
Х |
724,60 |
16 |
Х |
566,40 |
9 |
36,904 |
332,10 |
|
|
||||||||||||
Останній спосіб передбачає визначення середньозваженої собівартості щодо кожної операції з вибуття запасів. На відміну від попереднього способу, при обчисленні періодичної середньозваженої собівартості враховується не тільки залишки запасів та їх надходження, а ще й їх рух. Тобто при розрахунку виключаються запаси, які вибули до моменту здійснення операції.
Більше про методи списання запасів - у НОВІЙ дистанційній СЕРТИФІКОВАНІЙ програмі навчання:
"Облік матеріальних цінностей у бюджетних установах"
Метод собівартості перших за часом надходження запасів (ФІФО)
Приклад. Згідно з даними бухобліку та показниками датчика ГБО залишок газу в баку службового автомобіля на початок місяця становить 20 л на суму 213,00 грн (ціна за 1 л – 10,65 грн). Чеки РРО з АЗС свідчать, що водій протягом звітного місяця заправив 60 л газу, зокрема:
- 11 травня відбулася перша заправка на 20 л на суму 222,00 грн (ціна за 1 л – 11,10 грн);
- 18 травня – на 40 л на суму 448,00 грн (ціна за 1 л – 11,20 грн).
Протягом місяця на роботу службового автомобіля згідно з подорожніми листами було витрачено 45 л газу, з них:
- 8 травня – 15 л;
- 15 травня – 20 л;
- 19 травня – 10 л.
Оцінка вибуття запасів за собівартістю перших за часом надходження запасів (ФІФО)
|
Показник |
Дата |
Залишок на початок місяця |
Надійшло |
Вибуло |
Залишок на кінець місяця |
||||||||
|
к-сть |
ціна, грн. |
сума, грн. |
к-сть |
ціна, грн. |
сума, грн. |
к-сть |
ціна, грн. |
сума, грн. |
к-сть |
ціна, грн. |
сума, грн. |
||
|
Залишок (бак) |
01.05 |
20 |
10,65 |
213,00 |
- |
- |
- |
- |
- |
- |
20 |
10,65 |
213,00 |
|
Залишок (бак) |
08.05 |
- |
- |
- |
- |
- |
- |
15 |
10,65 |
159,75 |
5 |
10,65 |
53,25 |
|
Заправка 1 |
11.05 |
- |
- |
- |
20 |
11,10 |
222,00 |
- |
- |
- |
20 |
11,10 |
222,00 |
|
Залишок (бак) |
15.05 |
- |
- |
- |
- |
- |
- |
5 |
10,65 |
53,25 |
- |
- |
- |
|
Заправка 1 |
15.05 |
- |
- |
- |
- |
- |
- |
15 |
11,10 |
166,50 |
5 |
11,10 |
55,50 |
|
Заправка 2 |
18.05 |
- |
- |
- |
40 |
11,20 |
448,00 |
- |
- |
- |
40 |
11,20 |
448,00 |
|
Заправка 1 |
19.05 |
- |
- |
- |
- |
- |
- |
5 |
11,10 |
55,50 |
- |
- |
- |
|
Заправка 2 |
19.05 |
- |
- |
- |
- |
- |
- |
5 |
11,20 |
56,00 |
35 |
11,20 |
392,00 |
|
Разом |
Х |
20 |
10,65 |
213,00 |
60 |
Х |
670,00 |
45 |
Х |
491,001 |
35 |
Х |
392,002 |
|
1 Собівартість перших за часом надходження запасів: 2 Вартість кінцевого залишку запасів: |
|||||||||||||
Висновки
- Метод оцінки вибуття запасів — це не технічна дрібниця, а елемент облікової політики установи, який безпосередньо впливає на розмір витрат і вартість залишків запасів.
- Бюджетні установиможуть застосовувати три методи оцінки вибуття запасів: ідентифікованої собівартості, середньозваженої собівартості та ФІФО.
- Метод ідентифікованої собівартості доцільний, коли запаси не є взаємозамінними або використовуються для конкретних замовлень і проєктів, але він є найбільш трудомістким.
- Метод середньозваженої собівартості — найпоширеніший у бюджетній практиці, оскільки простий у застосуванні та зручний при великій номенклатурі запасів і активному їх русі.
- ФІФО — це обліковий, а не складський принцип: він застосовується лише для оцінки, а не для фактичного відпуску матеріалів зі складу.
- Для запасів однакового призначення та умов використання застосовують лише один метод оцінки вибуття, водночас у межах однієї установи допустиме використання різних методів для різних груп запасів.
- Вибрані методи оцінки вибуття запасів обов’язково фіксують у наказі про облікову політику, а їх зміна можлива лише за наявності обґрунтованих причин.
Підвищення кваліфікації бухгалтера бюджетної установи — сертифікований курс із 3,0 кредитами ЄКТС
“Облік матеріальних цінностей у бюджетних установах”


.jpg)